
Diseñar un sistema de generación de energía solar no se trata sólo de reunir componentes; se trata de crear una configuración equilibrada y eficiente que satisfaga sus necesidades energéticas específicas. Esta guía lo guía a través de los pasos clave, asegurándole una comprensión integral de cada aspecto.
1. Selección de componentes del sistema solar fotovoltaico
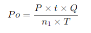
Cálculo de energía del panel solar:
La energía generada por los paneles solares es la columna vertebral de su sistema. Para asegurarse de generar suficiente electricidad, debe calcular la potencia requerida del panel solar (Po). La fórmula para este cálculo es:

donde:
P (potencia de carga): el consumo total de energía de todos los dispositivos conectados (en vatios). Esto incluye electrodomésticos como luces, refrigeradores y aires acondicionados.
t (Tiempo de uso): Cuánto tiempo funcionan estos dispositivos diariamente (en horas).
n1 (Eficiencia): Eficiencia de conversión del sistema, normalmente alrededor del 85%. Esto representa las pérdidas de energía durante la conversión de CC a CA.
T (Horas de luz solar): el número promedio de horas pico de luz solar en su ubicación. Esto es crucial ya que varía significativamente según la geografía.
Q (factor climático): un factor que tiene en cuenta condiciones climáticas no ideales, como días nublados o lluviosos. Suele estar entre 1,2 y 2, dependiendo del clima.
Por qué es importante: El cálculo preciso de la potencia de los paneles solares es crucial. Subestimar puede conducir a una generación de energía insuficiente, mientras que sobreestimar puede aumentar los costos innecesariamente. En regiones con clima impredecible, elegir un valor Q más alto garantiza la confiabilidad.
Ejemplo: si se encuentra en Guangzhou, China, y su carga diaria es de 5 kW con 4 horas de funcionamiento y elige un factor Q de 1,5, necesitaría alrededor de 9437 W de paneles solares para garantizar una generación de energía constante.
2. Cálculo de la capacidad de la batería
La batería es el corazón de su sistema solar, almacenando energía para usarla cuando el sol no brilla. Calcular la capacidad correcta de la batería (C) implica:

donde:
C (Capacidad): La capacidad requerida de la batería en amperios-hora (Ah).
V (voltaje): el voltaje del sistema, a menudo 12 V, 24 V o 48 V, según su configuración.
K (coeficiente de descarga): refleja la profundidad de la descarga, la eficiencia de la batería y los factores ambientales. Normalmente oscila entre 0,4 y 0,7. Los valores más altos significan descargas más profundas y baterías más pequeñas, pero a costa de la duración de la batería.
Información clave: La elección de la capacidad de la batería es un equilibrio entre costo y confiabilidad. Si bien las baterías más grandes ofrecen más respaldo durante el mal tiempo, aumentan el costo del sistema. Es importante encontrar un punto medio según sus necesidades y presupuesto específicos.
Ejemplo: para un sistema con una carga de 5 kW y un solo día de clima nublado, podría calcular la necesidad de una capacidad de batería de alrededor de 200 Ah a 48 V, suponiendo un coeficiente de descarga de 0,5 y una eficiencia del inversor de 0,9.
3. Selección del controlador de carga solar
El controlador de carga solar regula el voltaje y la corriente desde los paneles solares a las baterías, evitando la sobrecarga. Para seleccionar el controlador correcto:

donde:
Io (corriente del controlador): la clasificación de corriente requerida para el controlador (en amperios).
V (Voltaje): El voltaje del sistema, que coincide con el voltaje de la batería.
Consideración importante: en regiones con grandes altitudes, la intensidad de la luz solar puede ser mayor, excediendo potencialmente la capacidad del controlador. En tales casos, es aconsejable seleccionar un controlador con una clasificación de corriente más alta para garantizar una durabilidad a largo plazo.
Consejo de integración: los sistemas modernos suelen combinar el controlador de carga con el inversor, lo que simplifica el proceso de instalación. Sin embargo, asegúrese de que la unidad combinada satisfaga todas sus necesidades de energía.
4. Selección del inversor
El inversor convierte la energía CC de los paneles solares o baterías en energía CA para electrodomésticos. La correcta selección del inversor (Pn) implica:

donde:
Pn (Capacidad del inversor): La capacidad del inversor en VA.
CosX (factor de potencia): normalmente alrededor de 0,8, lo que refleja la eficiencia de la conversión de energía de CA.
Q (margen de seguridad): un factor que tiene en cuenta las sobretensiones de arranque, especialmente con cargas inductivas como motores y compresores. Normalmente está entre 1,1 y 1,3.
Por qué es crucial: Elegir un inversor con capacidad insuficiente puede provocar fallas en el sistema, especialmente cuando se trata de cargas inductivas como aires acondicionados o bombas. Tenga siempre en cuenta un margen de seguridad para adaptarse a estos aumentos repentinos.
Ejemplo: para un acondicionador de aire de 1,3 kW, teniendo en cuenta un aumento de 3 veces para la carga inductiva y un margen de seguridad de 1,1, la capacidad requerida del inversor sería de aproximadamente 5,36 kW.
5. Configuración del sistema
Al reunir todos estos cálculos, puede configurar un sistema que satisfaga sus necesidades específicas.
Configuración de ejemplo:
Ubicación: Abuya, con una media de 5,45 horas de sol al día.
Potencia de carga total: 1965W, incluida una carga inductiva (aire acondicionado).
Almacenamiento de energía: 15635 Wh, suficiente para al menos un día de respaldo.
Tipo de sistema: Fuera de la red, sin dependencia de fuentes de energía externas como un generador o la red.
Tipo de batería: Iones de litio, preferida por su larga vida útil y capacidad de descarga profunda.
Información práctica: esta configuración es ideal para ubicaciones con luz solar constante e infraestructura mínima, lo que garantiza un suministro de energía confiable incluso durante períodos nublados.

6. Diagrama de cableado del sistema
El último paso es crear un diagrama de cableado detallado. Esto debería mostrar claramente las conexiones entre los paneles solares, las baterías, el inversor, el controlador de carga y las cargas. Un diagrama de cableado bien dibujado es esencial tanto para la instalación como para el mantenimiento del sistema, asegurando que todos los componentes estén correctamente conectados y protegidos.
Por qué es importante: Un diagrama de cableado claro minimiza los errores de instalación que pueden causar ineficiencias o incluso fallas en el sistema. También sirve como una referencia valiosa para la resolución de problemas y futuras actualizaciones.
Si necesita un diseño para una aplicación residencial, comercial o industrial, contáctenos en www.suness.com ¡Y podemos ayudarle a diseñar su sistema de almacenamiento de energía de forma gratuita!